
REN500T是手持式儀表可用來監測X、γ輻射劑量率。用于各種γ輻射場或環境γ輻射的監測工作。儀器配有伸縮長桿,可用于測量人員不易到達或有較強放射性存在的場所,為使用人員提供有效保護。此外通過配套的RenRiRate輻射劑量管理軟件可將存
REN500B型智能化х-γ輻射儀是監測各種放射性工作場所х、γ射線輻射劑量率的專用儀器。該儀器具有較大的劑量率測量范圍和能量響應特性。此外通過配套的RenRiRate劑量率管理軟件可將存儲的數據讀出后分析。該儀器廣泛用于衛生、環保、冶金、石油、化工、醫院、加速器、工業探傷
REN500H輻射防護用X、γ輻射劑量當量(率)儀是監測各種高劑量放射性工作場所的輻射劑量率專用儀器。儀器滿足《環境地表γ輻射劑量率測定規范》中高劑量部分的要求。該儀器除能測高能γ射線外,還能對低能X射線進行準確的測量,具有良好的能量響應特性。此外通過配套的RenRiRate輻射劑量管理軟件可將存儲
REN500A型智能化х、γ輻射儀(又叫環境監測用X、γ輻射空氣比釋動能(吸收劑量)率儀或便攜式X、γ輻射周圍劑量當量率儀)采用高靈敏的閃爍晶體作為探測器,反應速度快,具有較寬的劑量率測量范圍。 該儀器除能測高能、低能γ射線外,還能對低能X射線進行準
REN300在線x-γ輻射安全報警儀是一種新型的x-γ輻射連續監測報警裝置,它采用特殊設計的前置放大電路,具有靈敏度高、操作方便、自動顯示、數據存儲和超閾值報警等特點,能實時給出xγ輻射劑量率。考慮到現場操作、應急快速響應的需要,主機安裝在輻射現場,實現實時監測與就地報警,通過RS48
REN320立柱式X、γ輻射環境監測儀主要用于放射性監測場所的行人或行包通過的監測系統,采用大體積的閃爍體探測器作為探測器,具有體積小,便于攜帶,靈敏度高,誤差小的特點,適用與核應急等特殊的放射性檢測場合。該輻射儀由一根便攜式立柱和一個REN400型多功能輻射儀主機組成。輻射立柱與探頭之
2006/9/16 20:50:00
對空情報雷達站電磁環境防護要求
Requirements of electromagnetic enviroment
proteetion for air defense surveillance radar station
1 主題內容與適用范圍
本標準規定了對空情報雷達站對高壓架空輸電線路、變電站、鐵路、汽車公路和工、科、醫射頻設備等電磁輻射的防護要求,并規定了對空情報雷達站和其他無線電業務之間協調的依據。
本標準適用于工作頻率為80~3000MHz頻段內的對空情報雷達站。
2 術語
2.1 對空情報雷達站 air defense surveillance radar station
對空情報雷達站由對空情報雷達、詢問機以及附屬設備等組成,在防空和空中交通管制系統中,用來搜索、監視和識別空中目標,測定其坐標。對空情報雷達一般包括警戒、引導、測高、目標指示、航管雷達等。
2.2 雷達站電磁環境 radar station electromagnetic environment
雷達站周圍,自然和人為的各種電磁輻射在雷達工作頻段內的電磁能量、時間及空間分布的總體。
2.3 最大容許干擾電壓 maximum permitted interference voltage
在不能完全避免有害干擾的條件下,根據干擾防護準則確定的雷達接收機輸入端容許的最大干擾電壓。
2.4 最大容許干擾場強 maximum permitted interference field strengrh
雷達接收機輸入端干擾電壓為最大容許值時,在雷達天線中心高度處的干擾場強。
2.5 雷達站防護間距 radar station protection distance
能滿足干擾防護準則要求的雷達天線與各干擾源之間的最小間隔距離。
2.6 干擾時間 interference duration
雷達接收機輸入端干擾電壓超過最大容許值的持續時間。
2.7 電磁障礙物 electromagnetic obstacle
能對雷達所輻射的高頻電磁波產生遮蔽和干擾影響的設施,統稱電磁障礙物。
3 干擾防護準則
3.1 對空情報雷達在有源干擾不可避免的條件下,容許有不大于5%的探測距離損失。
3.1.1 對白噪聲干擾,雷達接收機輸入端的最大容許干擾電壓為:
(1)
式中:Ujfmax---接收機輸入端最大容許干擾電壓有效值,μV;
Unf---等效到接收機輸入端的系統噪聲電壓有效值,μV。取值見表1。
表1 接收機輸入端等效噪聲電壓
| 頻 率 MHz | 80~300 | 300~3000 |
| Unf μV | 0.77 | 0.85 |
3.1.2 對不同性質的隨機高頻脈沖干擾,在雷達接收機輸入端的最大容許干擾電壓為:
(2)
式中:C -- 相對于白噪聲最大容許干擾電壓的增量系數,取值見表2。
表2 不同性質隨機高頻脈沖干擾的增量系數
| 干擾源 | 高 壓 架 空 輸電線路、變電站 |
電氣化 鐵 路 |
汽車 公路 |
高 頻 熱合機 |
工業 電焊 |
高 頻 理療機 |
高頻爐 |
| C | 3 | 4 | 4 | 4 | 5.4 | 5.4 | 5.4 |
3.1.3 對接收機通頻帶以外的調幅、調頻干擾信號,在雷達接收機輸入端的最大容許干擾電壓。
3.1.3.1 接收機輸入端對通頻帶外鄰頻干擾信號的最大容許干擾電壓為:
(3)
式中:Uip△fmax---接收機通頻帶外的最大容許干擾電壓峰值,dB(μV);
Ujpmax---接收機通頻帶內最大容許干擾電壓峰值,取值見表3;
K△f---干擾信號頻率偏離接收機工作頻率△f時的接收機帶外抑制系數,dB,取值見表4。
表3 接收機通頻帶內最大容許干擾電壓
| 干擾種類 | 調 幅 | 調 頻 | ||
| 頻 段 MHz | 80~300 | 300~3000 | 80~300 | 300~3000 |
| Ujpmax dB(μV) | 6 | 6.9 | 18 | 18.7 |
表4 接收機帶外抑制系數
| 頻偏MHz | K△fdB | |
| 80~300MHz | 300~3000MHz | |
| 0.3 | 10 | —— |
| 0.5 | 20 | —— |
| 1.0 | 50 | —— |
| 1.5 | 63 | 10 |
| 2.0 | 70 | 33 |
| 2.5 | —— | 51 |
| 3.0 | —— | 62 |
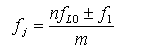
3.1.3.2 干擾信號頻率fj滿足(4)式條件時,在雷達接收機輸入端的干擾電壓應小于85dB(μV)。
(4)
式中:fj---干擾信號頻率,MHz;
n---本振頻率的諧波次數,正整數1,2,3;
fLO---接收機本振頻率,MHz;
fI---接收機中頻頻率,MHz;
m---干擾頻率的諧波次數,正整數1,2,3。
3.1.3.3 如果有兩上或兩個以上的干擾信號同時進入雷達接收機輸入端,其頻率滿足產生二、三階互調干擾條件時,其中一個干擾信號的電壓應低于60dB(μV)。
3.1.3.4 在雷達接收機高放通帶外,干擾信號頻率不滿足(4)式和互調干擾條件時,干擾信號電壓應小于110dB(μV)。
3.2 電磁障礙物對雷達探測距離影響的損失,不超過探測距離的5%。
3.3 一次連接干擾時間不超過10s、兩次干擾的間隔時間不少于10s、每小時累計干擾時間不超過工作時間的5%。
4 防護間距
對空情報雷達站對各種干擾源的防護間距見表5。
表5 防護間距
| 干 擾 源 | 防護間距,km | 備 注 | ||
| 80~300MHz | 300~3000MHz | |||
| 高壓架空 輸電線路 |
500kV | 1.6 | 1.0 | |
| 220~330kV | 1.2 | 0.8 | ||
| 110kV | 1.0 | 0.7 | ||
| 高壓變電站 | 500kV | 3.0 | 1.2 | |
| 220~330kV | 1.6 | 0.8 | ||
| 110kV | 1.4 | 0.7 | ||
| 電氣化鐵路 | 國產機車 | 0.8 | 0.7 | |
| 非電氣化鐵路 | 0.6 | 0.5 | ||
| 汽車公路 | 高速、一級 | 1.0 | 0.7 | |
| 二級 | 0.8 | 0.7 | ||
| 高頻熱合機 | 1.2 | 1.2 | 從廠房算起 | |
| 高頻爐 | P≤100kW | 0.5 | 0.5 | 有屏蔽的廠房, 從廠房算起 |
| 工業電焊 | P≤10kW | 0.5 | 0.5 | |
| 超高頻理療機 | P≤1kW | 1.0 | 1.0 | 從工作間算起 |
| 農用電力設備 | P≤1kW | 0.5 | 0.5 | |
注:a.特殊情況下,按干擾防護準則的要求,參照有關附錄進行測算。
b.雷達對調幅、調頻信號發送設備的防護間距按有關附錄中的方法計算。

產品名稱: REN400型X、γ、α、β、中子多功能輻射檢測儀
產品描述: REN400型多功能輻射檢測儀是以內置高靈敏度蓋格計數管為探測器,外接不同類型的探頭來實現對低劑量χ、γ射線,高劑量χ、γ射線,α、β射線和中子射線的檢測。作為多功能輻射巡測儀,能顯示工作場所的輻射值,自動連續測量和記錄280萬條輻射劑量率數據,更換
產品名稱: REN200型X-γ個人劑量報警儀
產品描述: REN200型X、γ個人劑量報警儀(又叫X、γ輻射個人劑量當量HP(10)監測儀)內置高靈敏度蓋格計數管為探測器,主要用來監測各種放射性工作場所的X、γ以及硬β射線的輻射,具有響應快,測量范圍寬的特點。能顯示工作場所的劑量當量率和累積劑量,更換電池時,日期及累積數據能永久保
產品名稱: 電離輻射警戒線
產品描述: 顏色:黃白相間,紅色文字“當心電離輻射 嚴禁進入” 材料:滌綸布 規格:4.5cm*100m 特點:電離輻射特有三葉符警示符號和標語 用途:在工業探傷、石油勘探等使用放射源或射線裝置的場所中需要隔離劃分出監督區和管理
產品名稱: REN800型中子周圍劑量當量(率)儀
產品描述: REN800型中子周圍劑量當量(率)儀 采用高靈敏的進口He-3管作為探測器,反應速度快。該儀器使用方便;靈敏度高、抗γ性能好、能量響應特性好,即可用作便攜式儀器又可用作固定式中子劑量監測儀。此外通過配套的RenRiRate輻射劑量管理軟件可將存儲的
產品名稱: REN-2GM-H雙GM管超高量程射線探頭
產品描述: REN系列智能化輻射探頭均可和REN300、REN300A、REN300B系列主機配套使用,也可以單獨配套RenRiArea輻射區域監測軟件使用。且具有RS485/RS232的通訊能力。所有探頭均可單獨外接報警燈,在超閾值的情況下就地給出聲光報警。 1、測量射線類型:X、γ射線2、探測器:2個GM
產品名稱: REN-NaI30-Im浸入式放射性廢液射線探頭
產品描述: REN系列智能化輻射探頭均可和REN300、REN300A、REN300B系列主機配套使用,也可以單獨配套RenRiArea輻射區域監測軟件使用。且具有RS485/RS232的通訊能力。所有探頭均可單獨外接報警燈,在超閾值的情況下就地給出聲光報警。
產品名稱: RenriDecayPool放射性廢液衰變池在線監測系統
產品描述: 為了加強對放射性廢液排放的監督管理,保障人體健康,保護環境,根據《中華人民共和國放射性污染防治法》《電離輻射防護與輻射源安全基本標準》《 醫用放射性廢物的衛生防護管理》等相關法規與標準的要求,考慮人為操作失誤及放射性廢液錯誤排放后可能引發的嚴重環境危
產品名稱: REN700型通道式車輛放射性檢測系統
產品描述: 簡介: REN700型通道式車輛放射性檢測系統是用于對通過通道的卡車、集裝箱等車輛內運輸物品的放射性污染及輻射泄露水平的全天候探測系統。該系統具有靈敏度高、探測范圍廣、響應時間短等特點,可實現自動輻射報警、自動數據存儲、自動抓拍通過車輛照片等功能。主要安裝在核

,輻射報警儀,輻射安全報警儀,核輻射報警器,射線報警儀,射線檢測報警儀,固定式射線報警儀,個人輻射報警儀
上海仁日輻射防護設備有限公司(Shanghai Renri Radiation Protection Equipment Co., Ltd.) 上海仁日科貿有限公司 版權所有
電話:021-69515711 手機:13818065015 傳真:021-69515712 Email:market@renri.com.cn
QQ:1993509414 地址:上海市曹安路1509號福瑞大廈516室 郵編:201824